东北地理所在水稻矮化优良等位基因挖掘及抗倒伏分子育种应用方面取得新进展
20世纪60年代末,以矮化育种为目标的绿色革命实现了我国水稻产量的第一次飞跃。绿色革命基因sd1已在籼稻现代育种中得到广泛应用,尤其是功能缺失型等位基因(sd1-d,sd1-AJNT和sd1-9311)。粳稻在长期进化过程中经过人工驯化,一种弱功能型等位基因SD1-EQ在极大部分粳稻中被保留下来。然而,近年来受气候条件变化、直播稻普及以及高产育种策略的影响,人们对粳稻品种的抗倒伏性能提出更高的要求。粳稻中是否还利用了其他的SD1等位基因?南方籼稻功能缺失型sd1等位基因是否可以在东北粳稻育种中加以利用?这是当前粳稻抗倒伏育种中需要考虑的重要问题。
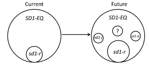
近日,中国科学院东北地理与农业生态研究所方军研究员团队在The Crop Journal在线发表了题为“Elite sd1 alleles in japonica rice and their breeding applications in northeast China”的研究论文。通过数据库挖掘、文献追踪、系谱分析以及分子标记验证等手段对粳稻中sd1的优异单倍型及相应的种质资源进行了分析,明确了除SD1-EQ外,sd1-r主要分布在中国北方和日本东北地区粳稻材料中,而sd1-j也在中国华东地区和日本九州的部分粳稻品种中存在。通过分析其衍生后代,发现“东农”和“秀水”系列品种分别是粳稻骨干亲本秋光和测21的重要分支,二者分别携带sd1-r和sd1-j等位基因。这说明sd1-r和sd1-j在当前粳稻育种中得到有效利用,可以用来改良大部分SD1-EQ型水稻品种,提高粳稻的抗倒性。其中携带sd1-r等位基因的东北粳稻材料有东农系列品种(东农419、东农423、东农427、东农糯418、东农9006),龙稻10、龙稻21、牡丹江21以及吉粳101,值得注意的是衍生自东农423的东农427和龙稻21在生产上表现出极好的抗倒伏性。进一步利用分子辅助选择,将sd1-d导入稻花香2号(DHX2),并获得了携带sd1-d的矮杆和半矮杆株系(1279和1280),预计这两个品系将成为未来遗传研究和育种的重要中间材料;同时由于sd1-d是功能缺失型,也意味着可以利用基因编辑技术快速创制其他不同类型缺失型sd1加以利用。这项工作将有助于引种,亲本选择,分子标记辅助选择育种,并为下一步挖掘粳稻骨干亲本中与sd1共同选择的有利基因提供材料基础。

图1 新创制的矮杆、半矮杆材料的表型和sd1-d等位基因的分子鉴定

图2 sd1等位基因在未来东北粳稻育种中的应用模型
东北地理所沙汉景博士后和东北农业大学刘化龙副研究员为论文共同第一作者,东北地理所方军研究员为论文的通信作者。东北农业大学邹德堂教授和黑龙江省农业科学院绥化分院聂守军研究员也参与了该项工作。本研究得到了中科院A类先导专项(XDA24020301),国家自然科学青年基金(31900423),黑龙江省杰出青年基金(JC2017009)以及黑龙江省水稻现代农业产业技术协同创新推广体系的资助。
文章链接:https://www.sciencedirect.com/science/article/pii/S2214514121001100
附件下载: